L’analisi statica e sismica di edifici semplici in muratura
Per le verifiche di sicurezza, la normativa consente di applicare metodi di calcolo semplificati per edifici la cui regolarità nella distribuzione di masse e rigidezze in altezza e in pianta consente di prevederne il comportamento per sollecitazioni statiche e dinamiche. Queste costruzioni sono definite “edifici semplici” se possiedono le seguenti caratteristiche:
• le pareti strutturali della costruzione siano continue dalle fondazioni alla sommità (regolarità in altezza);
• nessuna altezza interpiano sia superiore a 3,5 m;
• il numero di piani non sia superiore a 3 (entro e fuori terra) per costruzioni in muratura ordinaria e a 4 per costruzioni in muratura armata;
• la planimetria dell’edificio sia inscrivibile in un rettangolo con rapporti fra lato minore e lato maggiore non inferiore a 1/3 (regolarità in pianta);
• la snellezza λ della muratura non sia in nessun caso superiore a 12;
• il carico variabile per i solai non sia superiore a 3,00 kN/m2.
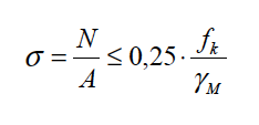
Data la sollecitazione statica, è possibile eseguire le verifiche con il metodo delle tensioni ammissibili, adottando le azioni previste dalle Norme Tecniche e le resistenze del materiale ridotte mediante il coefficiente γM = 4,2. La verifica si intende soddisfatta se risulta:

dove:
N è il carico verticale totale alla base di ciascun piano dell’edificio corrispondente alla somma dei carichi permanenti e variabili (valutati ponendo γG = γQ = 1) della combinazione caratteristica;
A è l’area totale dei muri portanti allo stesso piano;
fk è la resistenza caratteristica a compressione in direzione verticale della muratura.
Questo saggio è tratto da “Strutture esistenti in muratura – Valutazione della sicurezza sismica” di Graziella Campagna, edito da Wolters Kluwer (costo: 12 euro). Per conoscere i contenuti e scaricare l’indice completo, clicca qui
In presenza di sollecitazione sismica, non è obbligatorio condurre analisi o verifiche di sicurezza se sono rispettate, oltre ai precedenti requisiti, anche le seguenti condizioni integrative:
• la costruzione deve ricadere in zona 2, 3 o 4;
• in ciascuna delle due direzioni siano previsti almeno due sistemi di pareti di lunghezza complessiva, al netto delle aperture, ciascuno non inferiore al 50% della dimensione della costruzione nella medesima direzione. Nel conteggio della lunghezza complessiva possono essere inclusi solamente setti murari che rispettano i requisiti geometrici della Tab. 7.8.II delle NTC 2008. La distanza tra questi due sistemi di pareti in direzione ortogonale al loro sviluppo longitudinale in pianta sia non inferiore al 75% della dimensione della costruzione nella medesima direzione (ortogonale alle pareti). Almeno il 75% dei carichi verticali sia portato da pareti che facciano parte del sistema resistente alle azioni orizzontali;

Requisiti geometrici delle pareti resistenti a sisma
• in ciascuna delle due direzioni siano presenti pareti resistenti alle azioni orizzontali con interasse non superiore a 7 m, elevabili a 9 m per costruzioni in muratura armata;
• per ciascun piano il rapporto tra area della sezione resistente delle pareti e superficie lorda del piano non sia inferiore ai valori indicati nella tabella 7.8.III delle NTC 2008, in funzione del numero di piani della costruzione e della sismicità del sito, per ciascuna delle due direzioni ortogonali;

Area pareti resistenti in ciascuna direzione ortogonale per costruzioni semplici
• deve risultare soddisfatta la seguente condizione:
